• Предмет: Математика
  • Автор: uuurgbuiyttujht
  • Вопрос задан 8 лет назад

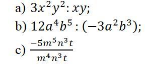
Выполнить деление помогите

Приложения:

Ответы

Ответ дал: isachenkod0
0

Ответ:

а. 3xy

Пошаговое объяснение:

b.4a^2b^2

c.-5m

везде просто сокращаем. при делении степени отнимаются . пояснение : ^2= в квадрате/во второй степени

Вас заинтересует