• Предмет: Математика
  • Автор: nghrtfgfbfghfgfg
  • Вопрос задан 8 лет назад

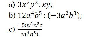
Выполнить деление хелп ми

Приложения:

Ответы

Ответ дал: Shaherizada27
0

Ответ:

3xy

-6a^2b^2

-5m............

Вас заинтересует