• Предмет: Физика
  • Автор: voedilokarina3
  • Вопрос задан 8 лет назад

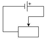
Як змінить сила струму у колі, якщо повзунок реостата пересунути праворуч.

Приложения:

Ответы

Ответ дал: fatt52
0

Ответ:

Уменьшится

Объяснение:

Сопротивление реостата увеличится.

I=U/R

====================

Вас заинтересует