мама заготовила на зиму компот в одинаковых банках. получилось 24 банки вишневого и 15 банок сливового компота.какова емкость каждой банки если вишневого компота на 27л больше чем сливового?
Ответы
Ответ дал:
0
Ответ:
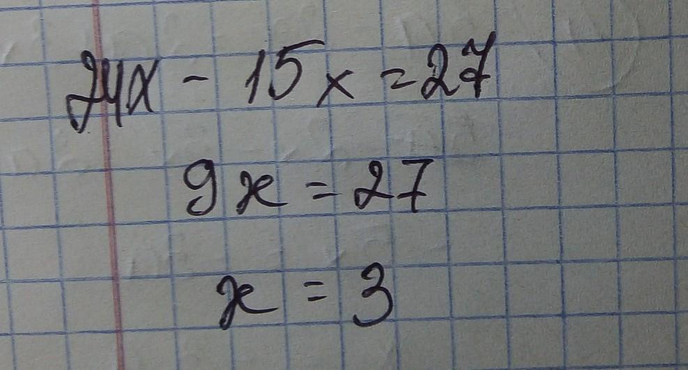
В приложении
////////////////////
Приложения:

Ответ дал:
0
Ответ:
24-15плпрмп
Пошаговое объяснение:
Ьбирьиоирооттттьтттьььььььььь
Приложения:

Вас заинтересует
2 года назад
3 года назад
8 лет назад
8 лет назад
9 лет назад
9 лет назад