Ответы
Ответ дал:
0
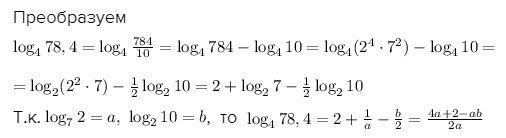
Преобразуем
Т.к. , то
Приложения:

Ответ дал:
0
добавите в друзья?))))
Вас заинтересует
2 года назад
3 года назад
8 лет назад
8 лет назад