Ответы
Ответ дал:
0
Ответ:
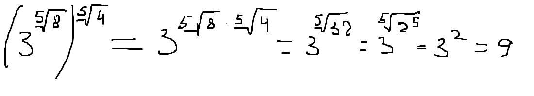
9
Объяснение:
Используем обычные правила вознесения одну в степень в другую - перемножаем. Корни квадратные с одним показателем - перемножаем. Выносим из под корня в пятой степени 32 и возносим 3 в квадрат.
Приложения:

Вас заинтересует
2 года назад
2 года назад
3 года назад
3 года назад
8 лет назад
9 лет назад