Ответы
Ответ дал:
0
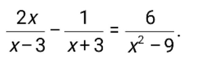
Ответ:
Объяснение:
Нужно каждый столбик умножить на знаменатель соседнего,чтобы получился общий знаменатель
Приложения:

Вас заинтересует
2 года назад
2 года назад
3 года назад
3 года назад
8 лет назад
8 лет назад
9 лет назад