• Предмет: Математика
  • Автор: bloxinilyxa
  • Вопрос задан 8 лет назад

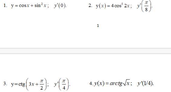
Решить 4 примера
Тема ПРОИЗВОДНЫЕ ТРИГОНОМЕТРИЧЕСКИХ И ОБРАТНЫХ ТРИГОНОМЕТРИЧЕСКИХ ФУНКЦИЙ

Приложения:

Ответы

Ответ дал: natalyabryukhova
0

Ответ:

========================================

Пошаговое объяснение:

Приложения:
Вас заинтересует