Ответы
Ответ дал:
0
Ответ:
Обьяснение на листочке и ответ
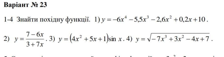
Объяснение:
Приложения:

Вас заинтересует
2 года назад
3 года назад
3 года назад
8 лет назад
9 лет назад