Ответы
Ответ дал:
0
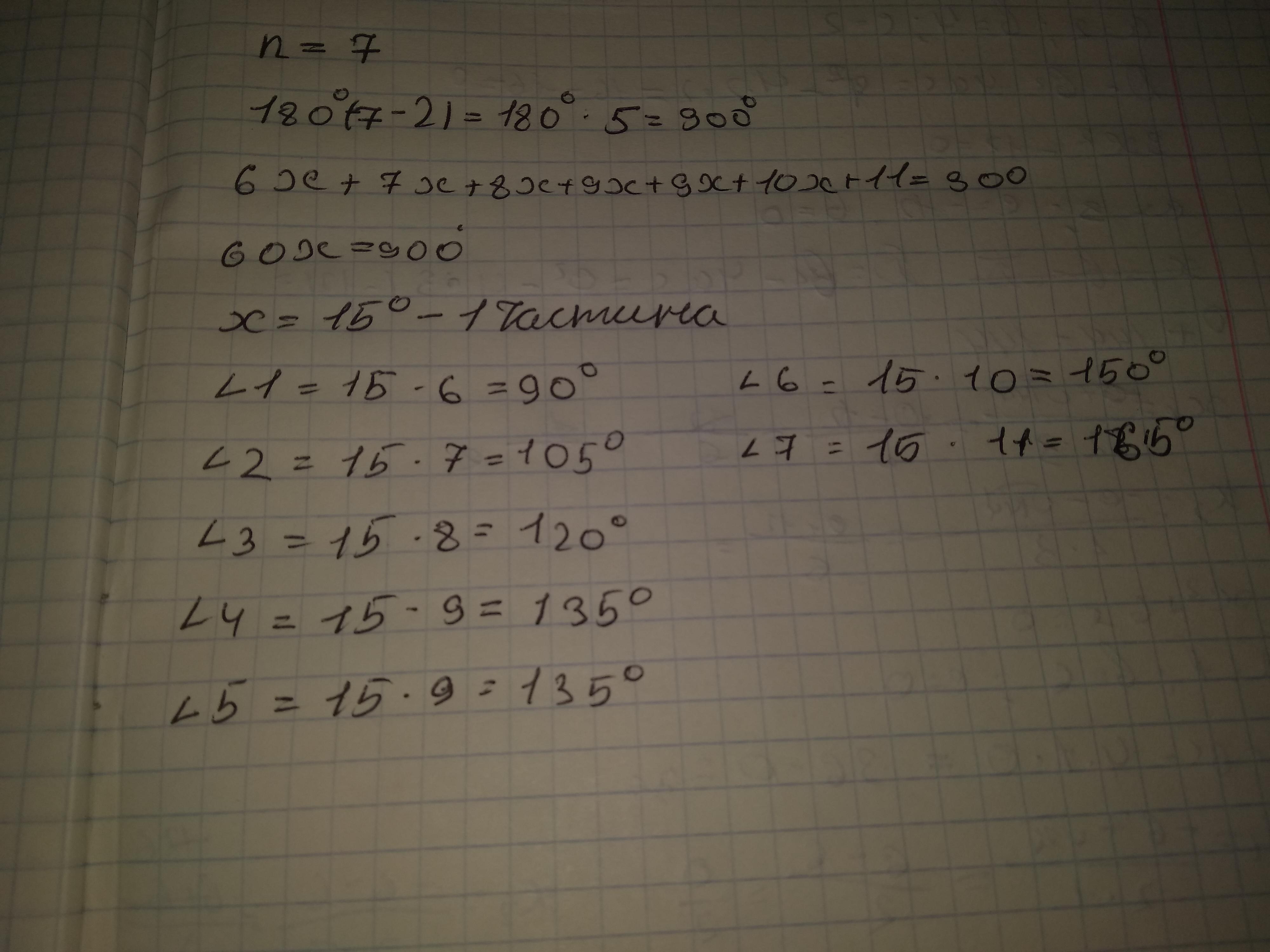
За торемою 19.1 180(n-2)
Приложения:

Вас заинтересует
2 года назад
2 года назад
3 года назад
3 года назад
8 лет назад