• Предмет: Алгебра
  • Автор: Nastynyaa
  • Вопрос задан 8 лет назад

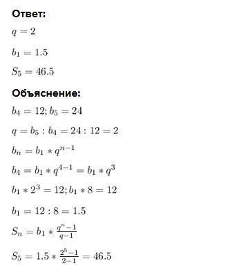
У геометричній прогресії ( b n ) відомі b 4 = 12; b 5 = 24. Знайдіть перший
член, знаменник та суму перших п’яти членів прогресії.

Ответы

Ответ дал: dtnth
0

Ответ:

q=2

b_1=1.5

S_5=46.5

Объяснение:

b_4=12;b_5=24

q=b_5:b_4=24:12=2

b_n=b_1*q^{n-1}

b_4=b_1*q^{4-1}=b_1*q^3

b_1*2^3=12; b_1*8=12

b_1=12:8=1.5

S_n=b_1*frac{q^n-1}{q-1}

S_5=1.5*frac{2^5-1}{2-1}=46.5

Приложения:
Вас заинтересует