Ответы
Ответ дал:
0
Ответ:
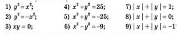
Укажите номера уравнений, которые не
имеют корней:
5) не имеет корней;
9) не имеет корннй.
Приложения:

Ответ дал:
0
Спасибо
Вас заинтересует
2 года назад
2 года назад
3 года назад
3 года назад
8 лет назад
8 лет назад
9 лет назад