• Предмет: Алгебра
  • Автор: terminator012
  • Вопрос задан 8 лет назад

СРОЧНО! Задание на 40 Баллов

Приложения:

Ответы

Ответ дал: Cadet1
0

Ответ:

Объяснение:

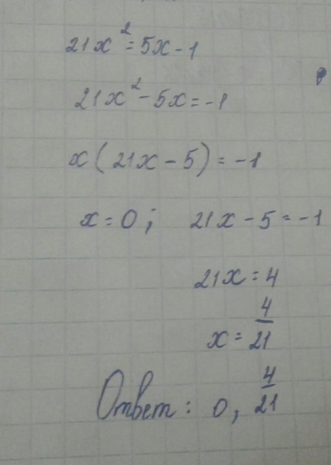
Решение на фото.

Приложения:
Ответ дал: dina764
0

Объяснение:

прости я украинский могу не понять

Приложения:
Вас заинтересует