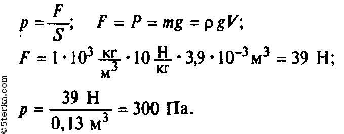
6. Розв’яжіть задачу.
Площа дна каструлі дорівнює 1300 см 2 . На скільки збільшиться тиск каструлі, якщо в неї
налити 3,9 л води?
Ответы
Ответ дал:
0
Відповідь:
Решение:
Давление увеличится на 300 Па.
Пояснення:
Приложения:


Вас заинтересует
2 года назад
3 года назад
3 года назад
8 лет назад
9 лет назад