• Предмет: Алгебра
  • Автор: burlinaAlina
  • Вопрос задан 8 лет назад

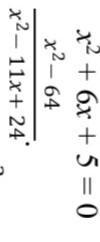
1)решить уравнение
2)сократить
пожалуйста,срочноооо​

Приложения:

Ответы

Ответ дал: bubnovamila75
0

Ответ:

1)D=6²-4×1×5=16

-b+корень D÷2a=-6+ корень 4÷2×1=-6+2÷2=-4÷2= -2

-b- корень D÷2a=-6- корень 4÷2=-6-2÷2a= -8÷2= -4

÷ это знак дроби

2)возьмём знаменатель и расчитаем через дискрименант

D=-11²-4×1×(-24)=-121+96=-25

D<0

значит нет решения

и остаётся числитель

x²-64

(x-8)(x+8) _ это всё, что мы можем сделать

Вас заинтересует