Ответы
Ответ дал:
0
Ответ:
вот
Пошаговое объяснение:
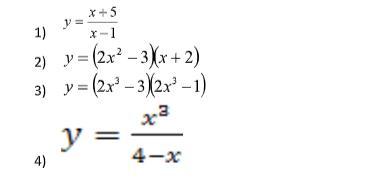
1. y = 1/(x-1) (x+5) (x-1)^2
2. фото 1. ответ 12
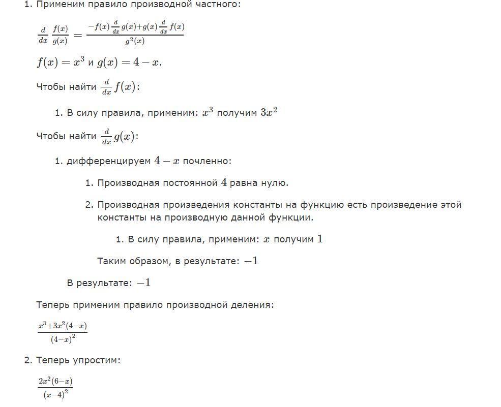
3. фото 2, ответ в конце
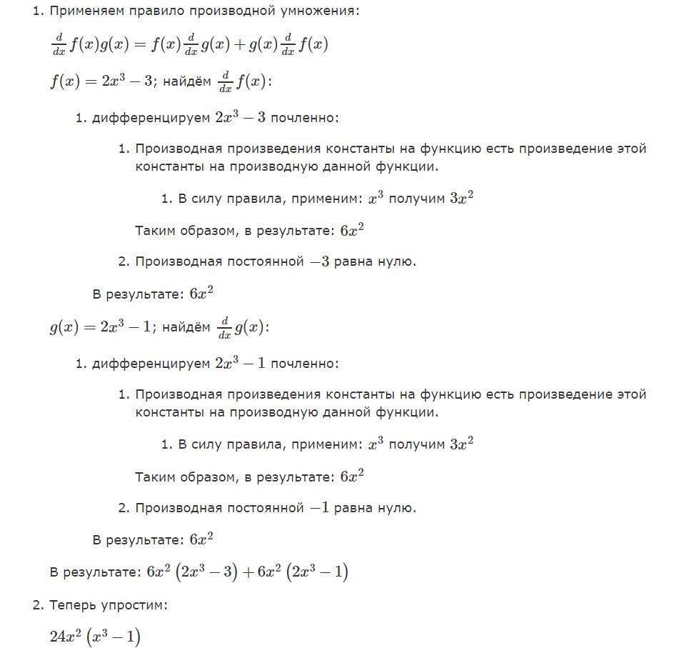
4. фото 3, ответ в конце
Приложения:



Вас заинтересует
2 года назад
2 года назад
3 года назад
3 года назад
8 лет назад
8 лет назад
9 лет назад
9 лет назад