Ответы
Ответ дал:
0
Ответ:
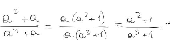
Возможно как-то так
Объяснение:
Приложения:

Ответ дал:
0
да ладно
Ответ дал:
0
Я не хотела тебя обидеть
Ответ дал:
0
Объяснение:
Приложения:

Вас заинтересует
2 года назад
2 года назад
3 года назад
8 лет назад
8 лет назад
9 лет назад