• Предмет: Алгебра
  • Автор: milja22
  • Вопрос задан 8 лет назад

вычислите пожалуйста​

Приложения:

Ответы

Ответ дал: kirichekov
0

Объяснение:

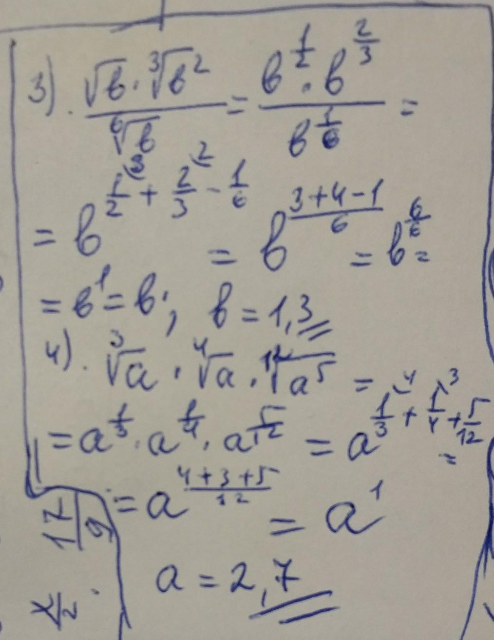
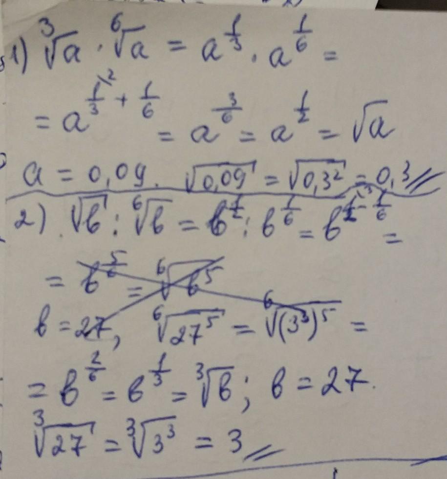
решение во вложении (два фото)

Приложения:
Вас заинтересует