Ответы
Ответ дал:
0
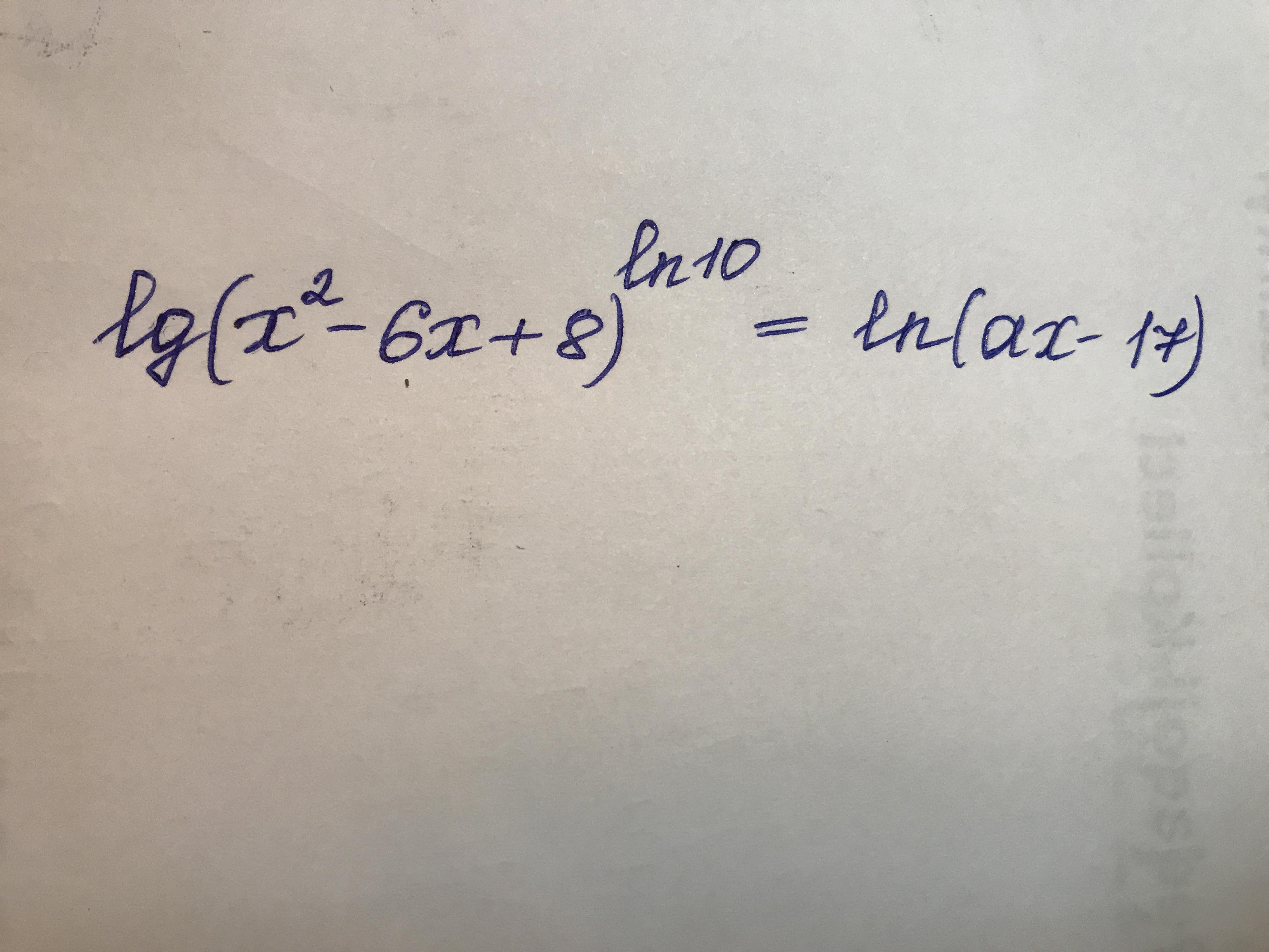
Ответ:
a={-16; 4}
Объяснение:
решение на фото
Приложения:

Вас заинтересует
2 года назад
2 года назад
3 года назад
8 лет назад
8 лет назад