• Предмет: Физика
  • Автор: lozanaangelina1
  • Вопрос задан 8 лет назад

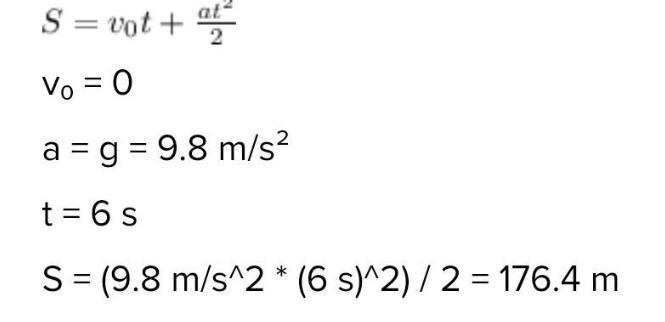
Визначити глубину колодязя, якщо камінь при падінні досягає дна за 6 секунд?

Ответы

Ответ дал: yrikbomber
0

Ответ: вот, надеюсь помог)

Приложения:
Вас заинтересует