• Предмет: Алгебра
  • Автор: annaedikembl
  • Вопрос задан 8 лет назад

Помогите пожалуйста: x² - 7x =8 найти корни уравнения? ​

Ответы

Ответ дал: 0725sasha
0

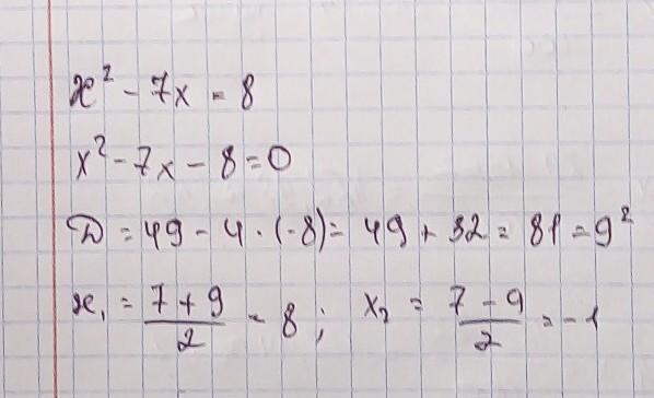
Ответ:

В приложении

Если мой ответ Вам помог

Отметте его ЛУЧШИМ

Приложения:
Ответ дал: 0725sasha
0
Д=в^2 - 4ас немного буквы перепутал
Ответ дал: georgiygurenko2005
0

Ответ: х1=8;   х2= -1

Объяснение:

х^2-7х-8=0

Д=б^2-4ac=7^2-4*1*(-8)=49+32=81

x1= (7+9)/2= 8

х2=(7-9)/2= -1

Приложения:
Вас заинтересует