• Предмет: Геометрия
  • Автор: nasstiiia
  • Вопрос задан 8 лет назад

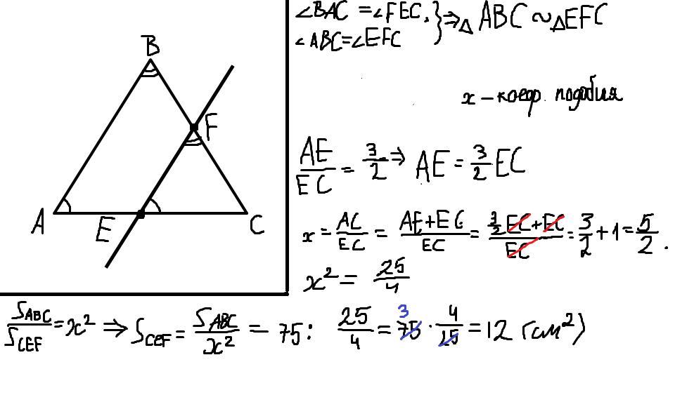
Прямая, параллельная стороне АВ треугольника ABC, пересекает его сторону AC в точке Е, а сторону ВС — в точке F. Найдите площадь треугольника CEF, если АЕ: ЕС= 3:2, а площадь треугольника ABC равна 75 см2.

Ответы

Ответ дал: Medved23
0

Ответ:

============

Объяснение:

Приложения:
Вас заинтересует