Ответы
Ответ дал:
0
350.
Дано:
А=50 кДж=50*10^3 Дж
s=2 км=2*10^3м
Fтр.-?
Решение:
При равномерном движении автомобиля сила тяги равна силе трения. Следовательно,
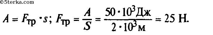
Дано:
А=50 кДж=50*10^3 Дж
s=2 км=2*10^3м
Fтр.-?
Решение:
При равномерном движении автомобиля сила тяги равна силе трения. Следовательно,
Приложения:
Вас заинтересует
2 года назад
2 года назад
3 года назад
3 года назад
9 лет назад
9 лет назад
10 лет назад