• Предмет: Математика
  • Автор: milanaulinets
  • Вопрос задан 8 лет назад

Найдите корень уравнения : (2,5+у)/0,5=(6+2у)/0,4 ; 1,1-0,1у=-1,9-0,7у
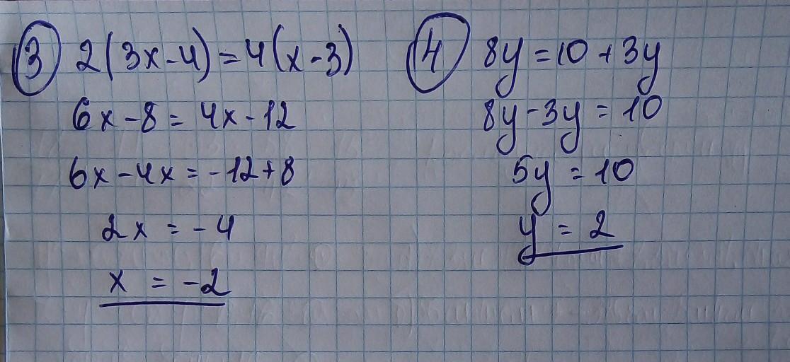
Решительно уравнение : 2*(3х-4)=4*(х-3) и 8у=10+3у

Ответы

Ответ дал: 0725sasha
0

Ответ:

В приложении

Если мой ответ Вам помог

Отметте его ЛУЧШИМ

Приложения:
Вас заинтересует