• Предмет: Математика
  • Автор: orinhero304
  • Вопрос задан 8 лет назад

Помогите пожалуйста срочна

Приложения:

Ответы

Ответ дал: Lemonalina
0

Ответ:

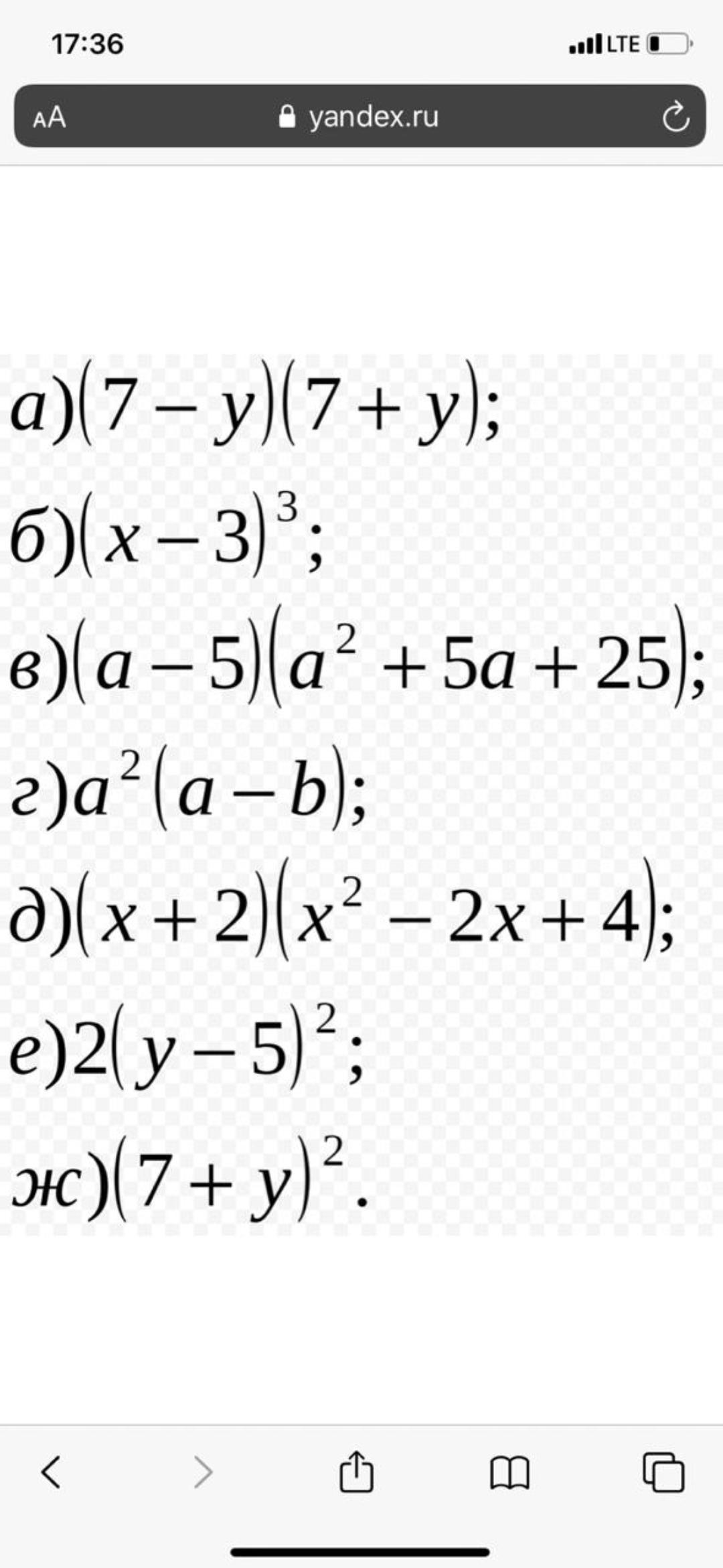
(7-y)*(7+y)=49-y2

(x-3)3=x3-9x3+27x-27

(a-5)*(a2+5a+25)=a3-125

a2*(a-b)=a3-a2b

(x+2)*(x2-2x+4)=x3+8

2*(y-5)2=2y2-20y+50

(7+y)2=y2+14y+49

Вас заинтересует