• Предмет: Алгебра
  • Автор: hava2000
  • Вопрос задан 8 лет назад

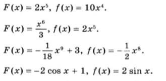
показать что функция F(x)-первообразная функции f(x) на всей числовой прямой.

Срочно пожалуйста ​

Приложения:

Ответы

Ответ дал: solving05
0

Ответ:

Объяснение:

Для того, чтобы F(x) была первообразной для функции f(x), необходимо, чтобы F'(x)=f(x).

1. F(x)=2x^5; F'(x)=2*5x^{5-1}=10x^4=f(x).\2. F(x)=frac{x^6}{3};F'(x)=frac{6}{3}x^5=2x^5=f(x).\3. F(x)=-frac{1}{18}x^9+3; F'(x)=-frac{9}{18}x^8=-frac{1}{2}x^8=f(x).\4. F(x)=-2cosx+1;F'(x)=-2*(-sinx)=2sinx=f(x).

Вас заинтересует