Ответы
Ответ дал:
0
Ответ:
Пошаговое объяснение:
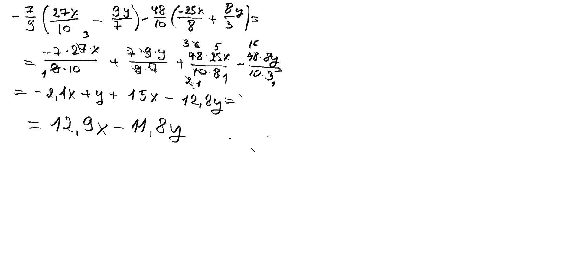
-7*27*х/9*10+7*9у/9*7+48*25x/10*8 - 48*8y/10*3
Приложения:

Вас заинтересует
2 года назад
3 года назад
3 года назад
8 лет назад
9 лет назад