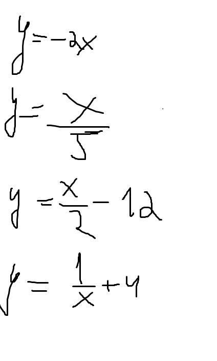
(на україській) Запишіть формулу для функції , якщо :
а) значення функції протилежне подвоєному значенню аргументу
б) значення функції в 5 разів більше від значення аргумента
в) значення функції на 12 більше від зменшеного вдвічі значення аргументу
г) значення функції оберненее значенню аргументу , збільшеному на 4
(на русском) Запишите формулу для функции, если :
а) значения Функции противоположных удвоенному значению аргумента
б) значение функции в 5 раз более исходных данных
в) значения функции на 12 более от Уменьшение вдвое значение аргумента
г) значение функции оберненее значение аргумента, увеличенному на 4
Ответы
Ответ дал:
0
Ответ:
Объяснение:
і на китайському будь ласка)
Приложения:

Вас заинтересует
2 года назад
2 года назад
3 года назад
3 года назад
8 лет назад
8 лет назад
9 лет назад