• Предмет: Физика
  • Автор: OLGA220985
  • Вопрос задан 8 лет назад

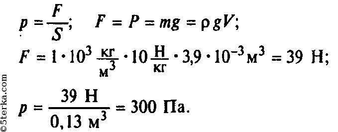
ПЛОЩА дна каструлі дорівнює 1300см2. визначте на скільки збільшиться тиск каструлі на стіл якщо в неї налити воду обємом 3.9л.

Ответы

Ответ дал: tanja121
0

Відповідь:

Пояснення:

Приложения:
Вас заинтересует