Уважаемые добрые люди!!!!!!! Помогите,пожалуйста!!!! Даю 40 баллов!!!
Тригонометрические уравнения!
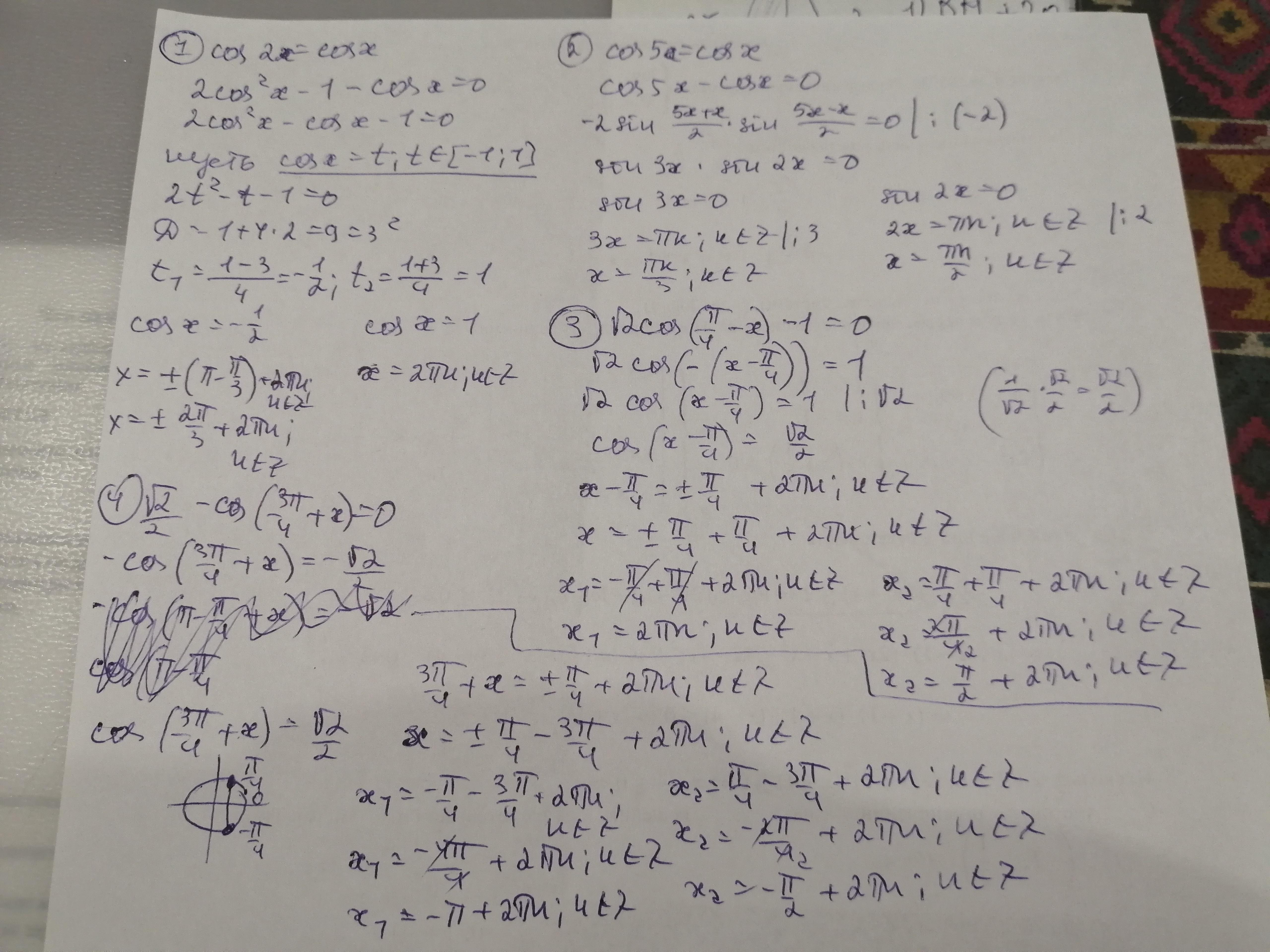
1. cos2x=cosx
2. cos5x=cosx
3. √2cos(п/4−x)−1=0
4. √22−cos(3п/4+x)=0
Ответы
Ответ дал:
0
Ответ:
1. х = 2 kП/3
Пошаговое объяснение:
я лиш знаю перше
Ответ дал:
0
дякуююю
Ответ дал:
0
вибач будь ласка а ти знаєш ось це просто дуде потрібно Не розв'язуючи рівняння х2-6х-5=0 знайдіть:
1) (х1+х2):2
2) х12+х22
1) (х1+х2):2
2) х12+х22
Ответ дал:
0
x=2kП/3
Ответ дал:
0
Ответ:
Пошаговое объяснение: Решение смотри во вложении.
Приложения:

Вас заинтересует
2 года назад
2 года назад
3 года назад
3 года назад
8 лет назад
9 лет назад