Ответы
Ответ дал:
0
Ответ:
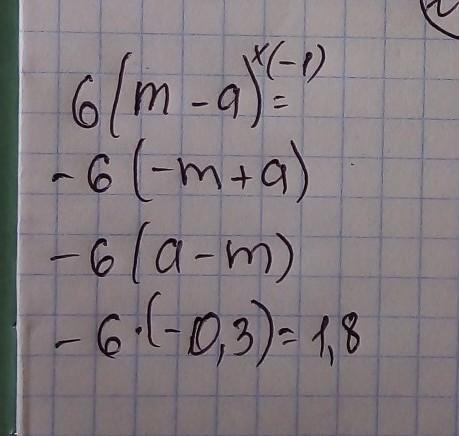
В приложении
Если мой ответ Вам помог
Отметте его ЛУЧШИМ
Приложения:

Вас заинтересует
2 года назад
2 года назад
3 года назад
3 года назад
8 лет назад
9 лет назад