• Предмет: Математика
  • Автор: mereykakuramys
  • Вопрос задан 8 лет назад

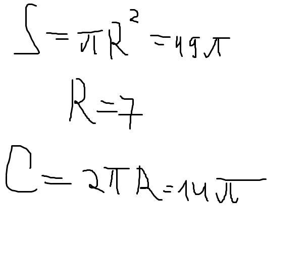
Площадь колеса составляет 49π см2. Какова длина этого круга?

Ответы

Ответ дал: matematikL
0

Ответ:

Пошаговое объяснение:

вот и все

Приложения:
Ответ дал: mbagirli6
0

Ответ:

S=Пr*2

49П=Пr*2

49=r*2

r=7

C=2Пr

C=2•7•П

C=14П

ответ:14П

Приложения:
Вас заинтересует