Уважаемые добрые люди!!! Помогите,пожалуйста!!!! Даю 40 баллов!!!
Тригонометрические уравнения! Помогите решить!
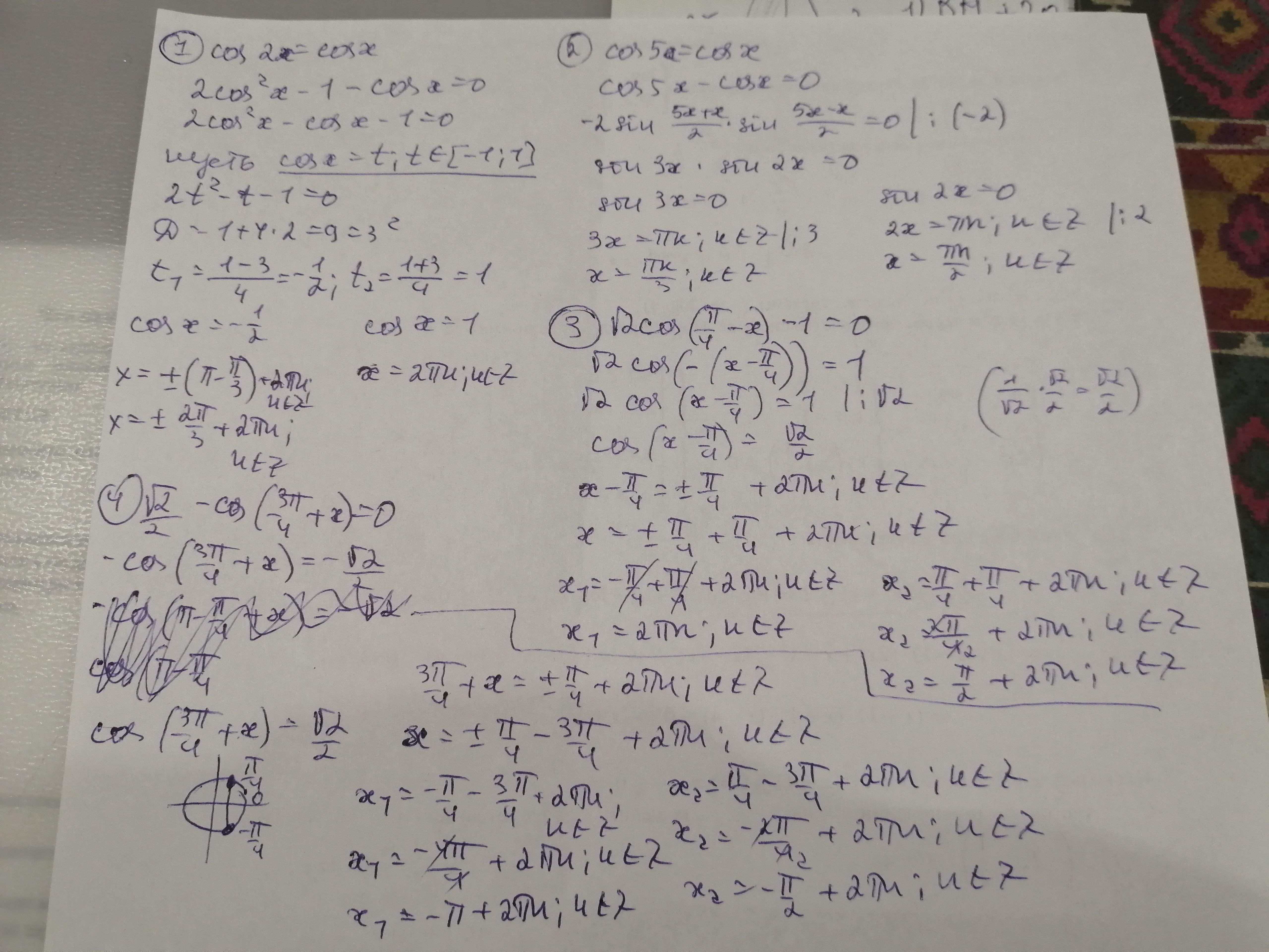
1. cos2x=cosx
2. cos5x=cosx
3. √2cos(п/4−x)−1=0
4. √22−cos(3п/4+x)=0
Ответы
Ответ дал:
0
Ответ:
Пошаговое объяснение:
Решение дано на фото.
Приложения:

Вас заинтересует
2 года назад
2 года назад
3 года назад
3 года назад
8 лет назад
8 лет назад
9 лет назад