• Предмет: Математика
  • Автор: MariaKol225
  • Вопрос задан 8 лет назад

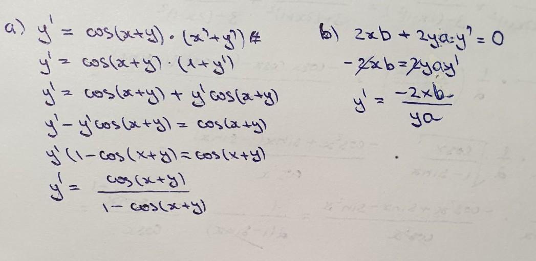
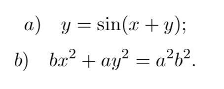
СРОЧНО!!!!! Помогите найти вторую производную этих 2-х функций. Пожалуйста, очень Вас прошу. Буду очень благодарна.

Приложения:

Ответы

Ответ дал: Miroslava227
0

Ответ:

решение на фотографии

Приложения:
Вас заинтересует