Ответы
Ответ дал:
0
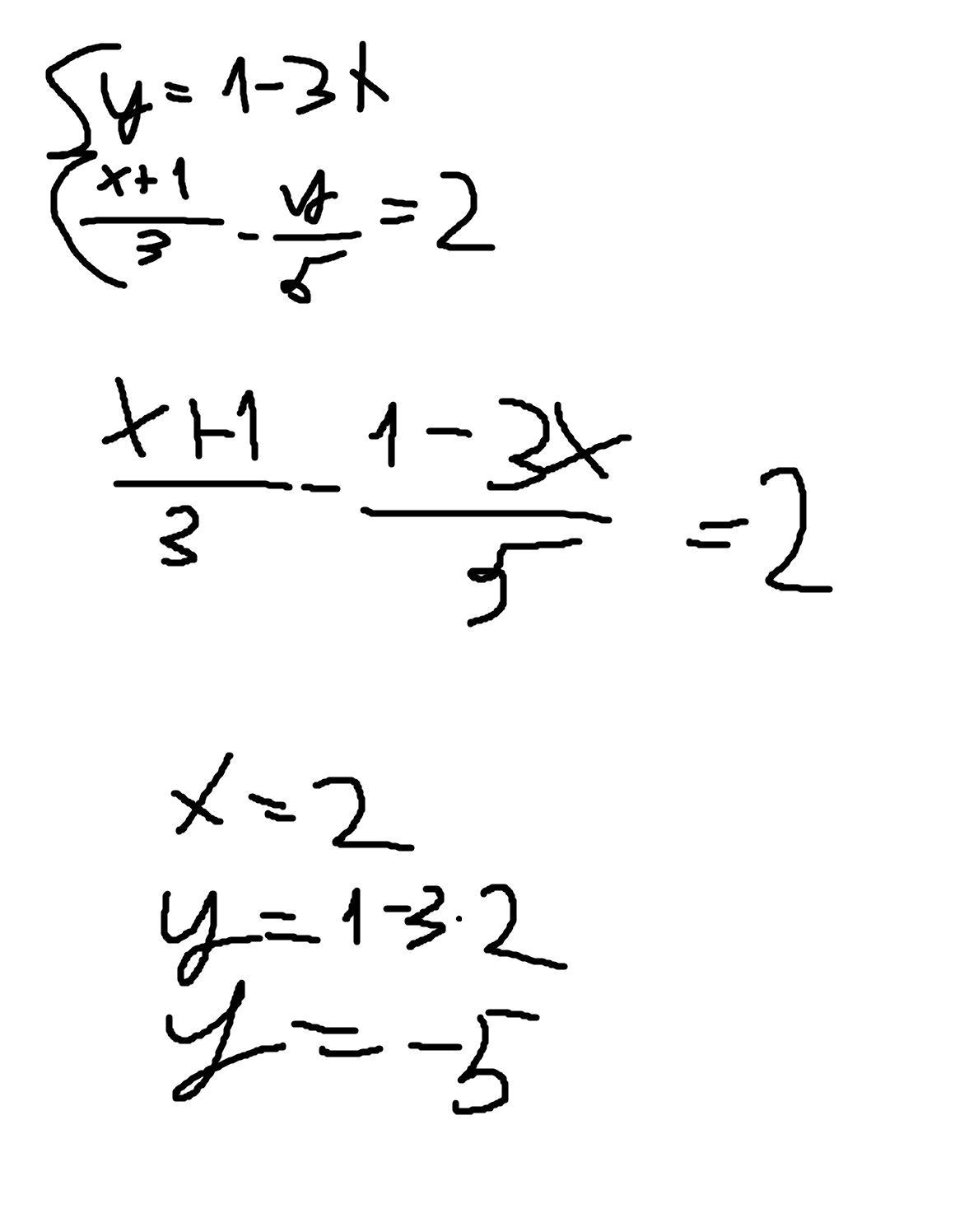
Ответ:
х=2
у=-1
Пошаговое объяснение:
Приложения:

Ответ дал:
0
Спасибо
Вас заинтересует
2 года назад
3 года назад
3 года назад
8 лет назад
8 лет назад
9 лет назад