• Предмет: Математика
  • Автор: alenahristova07
  • Вопрос задан 8 лет назад

Помогите плиззззззззззз
1) 2,6х+5,04=5,3
2) 9,3-0,14х=8,95
3) 8,6х-6,9х+0,49=1
4) 1,2n+1,3n-1,39=0,61

Ответы

Ответ дал: 0725sasha
0

Ответ:

В приложении

Если мой ответ Вам помог

Отметте его ЛУЧШИМ

Приложения:
Ответ дал: mohinurfarhodova05
0

Ответ:

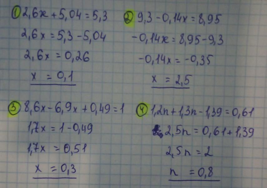
1)2,6x+5,04=5,3

2,6x+5,04=5,3

2,6x=5,3-5,04

2,6x=0,26

x=0,1

2)9,3-0,14x=8,95

9,3-0,14x=8,95

-0,14x=8,95-9,3

-0,14x=-0,35

x=2,5

3)8,6x-6,9x+0,49=1

1,7x=1-0,49

1,7x=0,51

x=0,3

4)1,2n+1,3n-1,39=0,61

2,5n=0,61+1,39

2,5n=2

n=0,8

Приложения:
Вас заинтересует