• Предмет: Алгебра
  • Автор: katerinabogomaz2000
  • Вопрос задан 8 лет назад

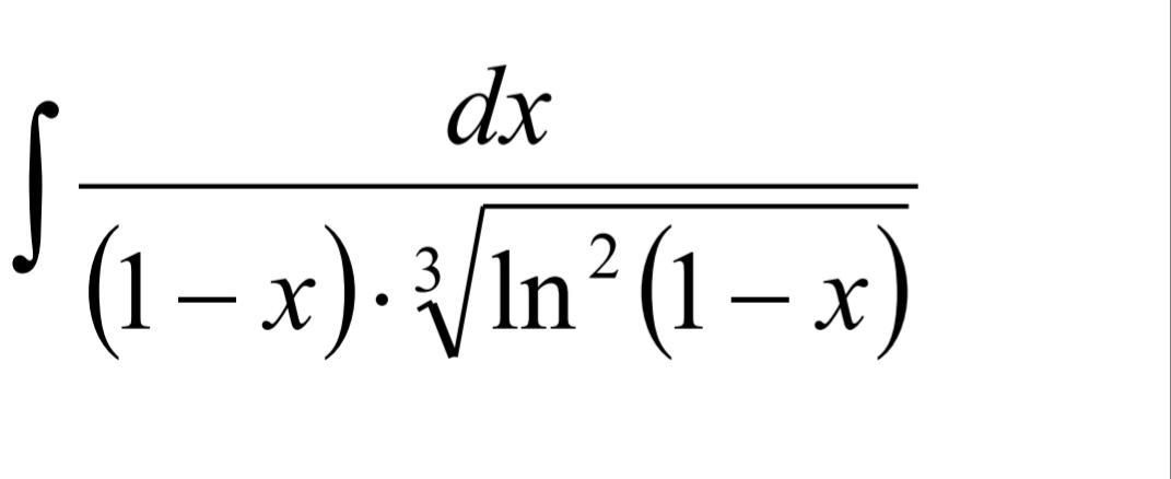
Невизначений інтеграл, 1 приклад

25 балів

Приложения:

Ответы

Ответ дал: QDominus
0

 int frac{dx}{(1 - x) sqrt[3]{ ln^{2} (1 - x) } }  =  -   frac{1}{2} int frac{1}{ sqrt[3]{t} sqrt{t}  }   = \  ln^{2} (1 - x)  = t, : dx =  -  frac{1 - x}{ 2ln(1 - x)} dt \  =  -  frac{1}{2}  int {t}^{ -  frac{5}{6} } dt =  -  frac{1}{2}  times 6 {t}^{ frac{1}{6} }  =  - 3 sqrt[6]{ ln^{2} (1 - x) }  =  \  =  - 3 sqrt[3]{ ln(1 - x) }  + C

Вас заинтересует