Ответы
Ответ дал:
0
Ответ:
В приложении
Если мой ответ Вам помог
Отметте его ЛУЧШИМ
Приложения:

Ответ дал:
0
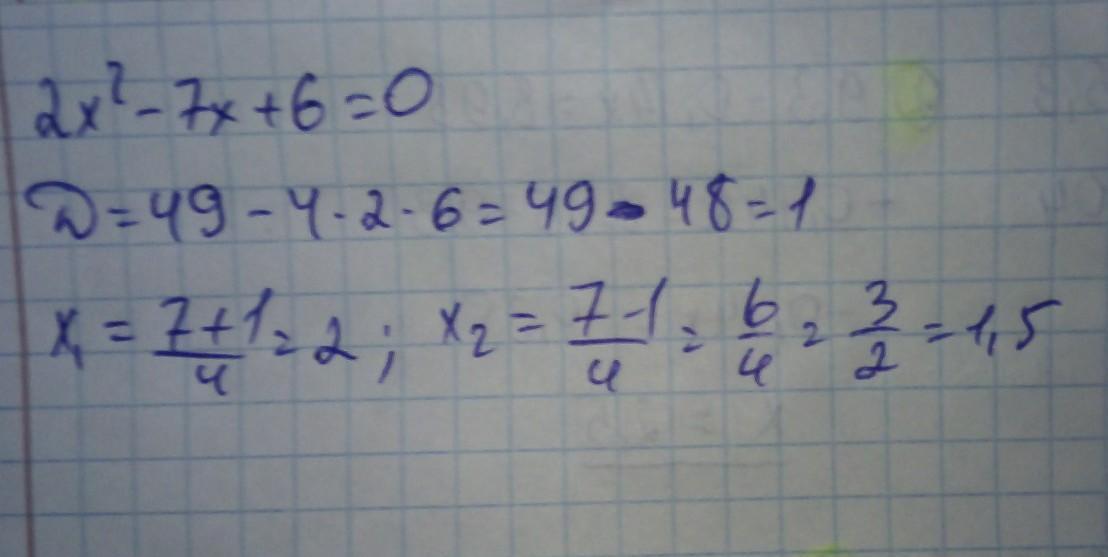
2х² — 7х + 6 = 0
D = (-7)² - 4 * 2 * 6 = 49 - 48 = 1
x₁₂ = 7 ± √1 / 2 * 2
x₁ = 7 + 1 / 4 = 8 / 4 = 2
x₂ = 7 - 1 / 4 = 6 / 4 = 3 / 2 = 1,5
Ответ: x₁ = 2, x₂ = 1,5
Приложения:

Вас заинтересует
2 года назад
2 года назад
3 года назад
3 года назад
8 лет назад
8 лет назад
9 лет назад
9 лет назад