• Предмет: Алгебра
  • Автор: Аноним
  • Вопрос задан 8 лет назад

срочно!!! с подробным объяснением!!!​

Приложения:

Ответы

Ответ дал: prip4017
0

Вот правильный ответ держи

Приложения:
Ответ дал: girl123456789101
0

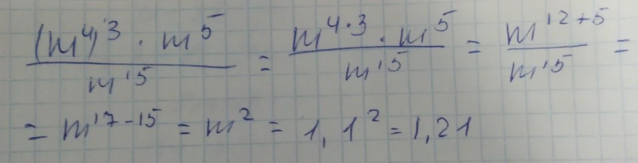
Ответ: 1,21

Объяснение:умножение степеней через скобку нужно умножить,а если m²×m³=m⁵,в таком случае надо складвать

Приложения:
Вас заинтересует