• Предмет: Алгебра
  • Автор: achislov05
  • Вопрос задан 8 лет назад

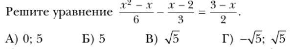
дам 22 балла помогите пожплуста

Приложения:

Ответы

Ответ дал: Никита3ф
0

Ответ: Г

Объяснение:

Пиши аккуратно, все получится, удачи!!!

Приложения:
Вас заинтересует