• Предмет: Математика
  • Автор: gudandplay
  • Вопрос задан 8 лет назад

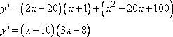
Как из первого выражения получается второе?

Приложения:

Ответы

Ответ дал: MistaB
0

frac{d}{dx}left(left(x^2-20x+100right)left(x+1right)+3right)\=frac{d}{dx}left(left(x^2-20x+100right)left(x+1right)right)+frac{d}{dx}left(3right)=\=(frac{d}{dx}left(x^2-20x+100right)left(x+1right)+frac{d}{dx}left(x+1right)left(x^2-20x+100right))+0 =\=left(2x-20right)left(x+1right)+1cdot left(x^2-20x+100right)=\=2x^2-18x-20+x^2-20x+100=\=3x^2-38x+80=\

|:: 3x^2-38x+80=0\|:: D=1444-960= 484=22^2\|:: x_1=frac{38+sqrt{22^2}}{6} =frac{38+22}{6} =frac{60}{6}=10\|:: x_2=frac{38-22}{6} =frac{16}{6}=frac{8}{3}\= 3(x-10)(x-frac{8}{3} )=\=(x-10)(3x-8)

Вас заинтересует