• Предмет: Алгебра
  • Автор: veronika05003
  • Вопрос задан 8 лет назад

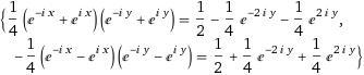
Помогите решить системы тригонометрических уравнений!!! Срочно надо

Приложения:

Ответы

Ответ дал: y22rickman
0

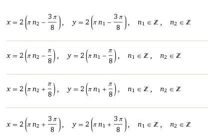
Ответ: поэтапно в файлах

Объяснение:

Приложения:
Вас заинтересует