• Предмет: Геометрия
  • Автор: aominedike
  • Вопрос задан 8 лет назад

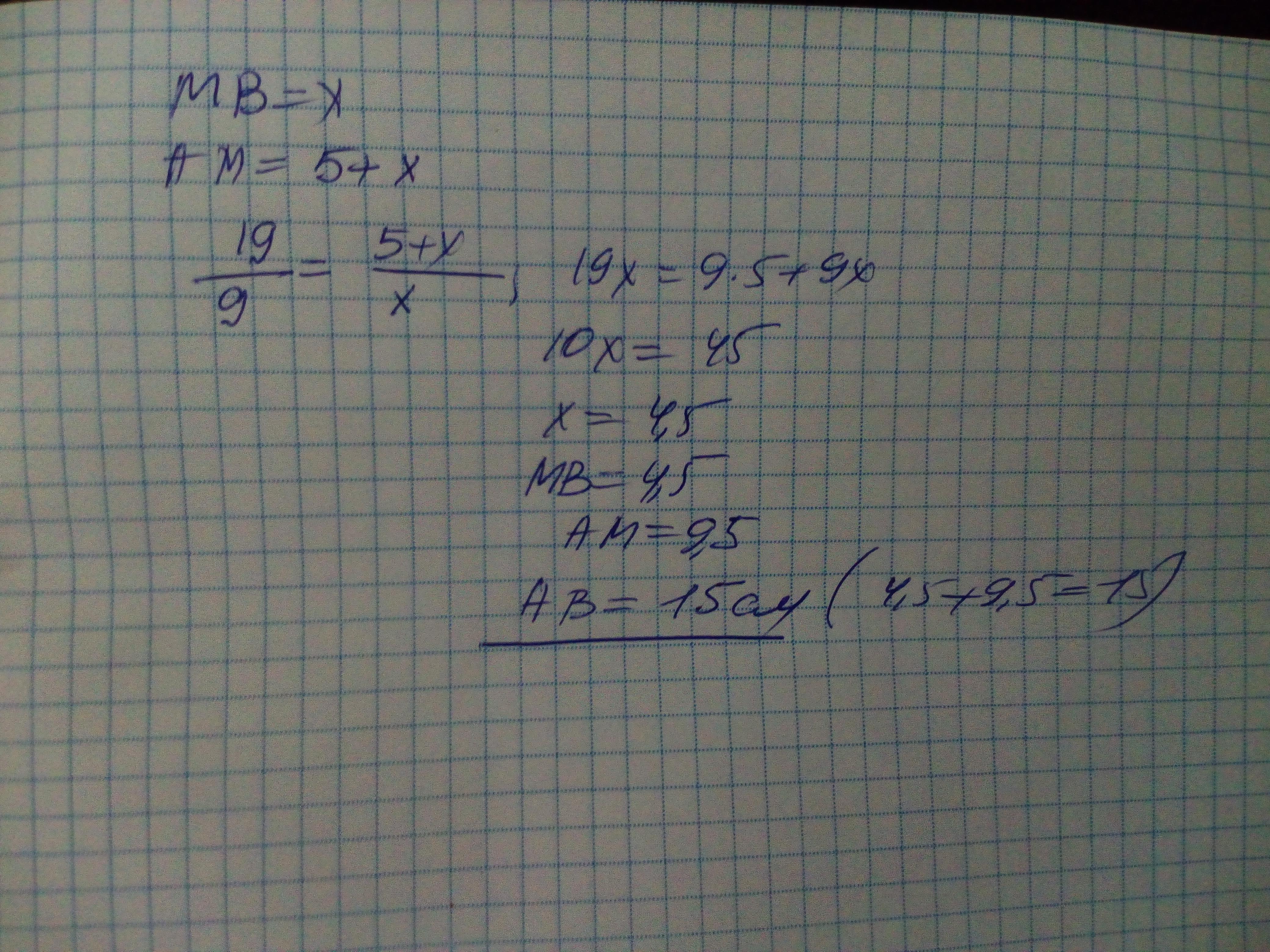
Используя данные рисунка найдите длину стороны AB треугольника ABC ,если AM - BM = 5​

Приложения:

Ответы

Ответ дал: ant20202020
0

использовано свойство биссектрисы угла треугольника.

Приложения:
Вас заинтересует