• Предмет: Математика
  • Автор: dashkaswon
  • Вопрос задан 8 лет назад

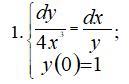
Добрый день.
Помогите решить уравнение, как ни пыталась, получается какая-то белиберда. Не очень понимаю дифференциальные уравнения.

Приложения:

Ответа на этот вопрос пока нет. Попробуйте найти его через форму поиска.

Вас заинтересует