• Предмет: Физика
  • Автор: artemmkn
  • Вопрос задан 8 лет назад

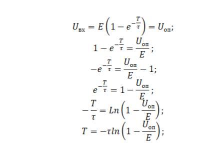
Тема: Таймер, синтез таймера.


Задача: рассчитать номиналы резистора и конденсатора в соответствии с вариантом.

Приложения:

Ответа на этот вопрос пока нет. Попробуйте найти его через форму поиска.

Вас заинтересует