• Предмет: Алгебра
  • Автор: moldirmusaeva12
  • Вопрос задан 8 лет назад

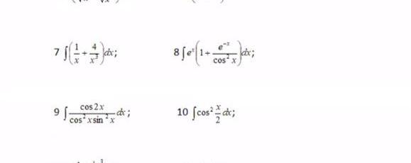
Помогите пожалуйста 8.9.10.11.12.15

Приложения:

Ответа на этот вопрос пока нет. Попробуйте найти его через форму поиска.

Вас заинтересует