Ответы
Ответ дал:
0
Ответ:
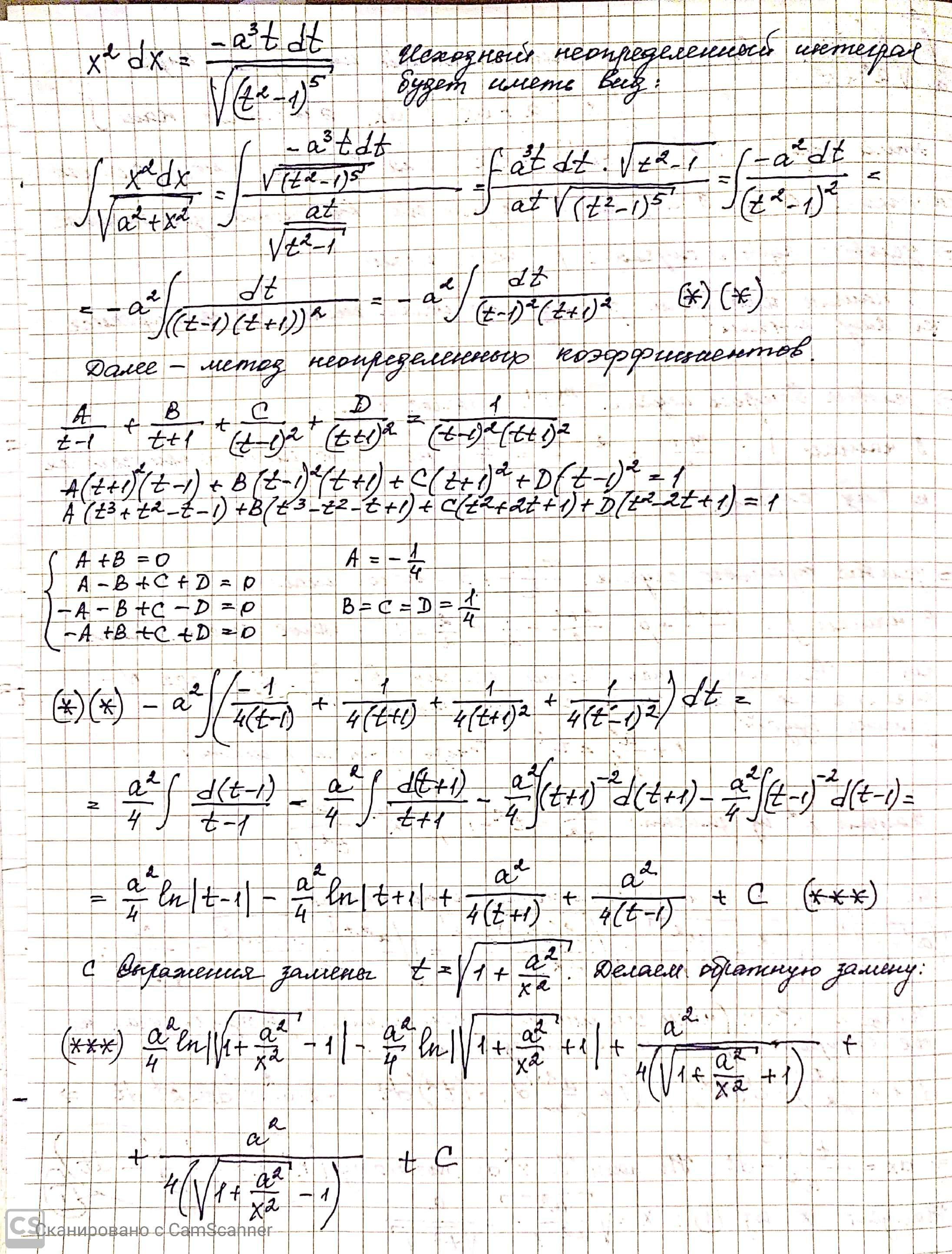
Пошаговое объяснение: Решение в файле. Правда, взял я только неопределенный интеграл. Проверьте, может ошибки найдете.
Приложения:


Вас заинтересует
2 года назад
2 года назад
3 года назад
3 года назад
8 лет назад
8 лет назад
9 лет назад
9 лет назад