ПОМОГИТЕ!!! )))))))))
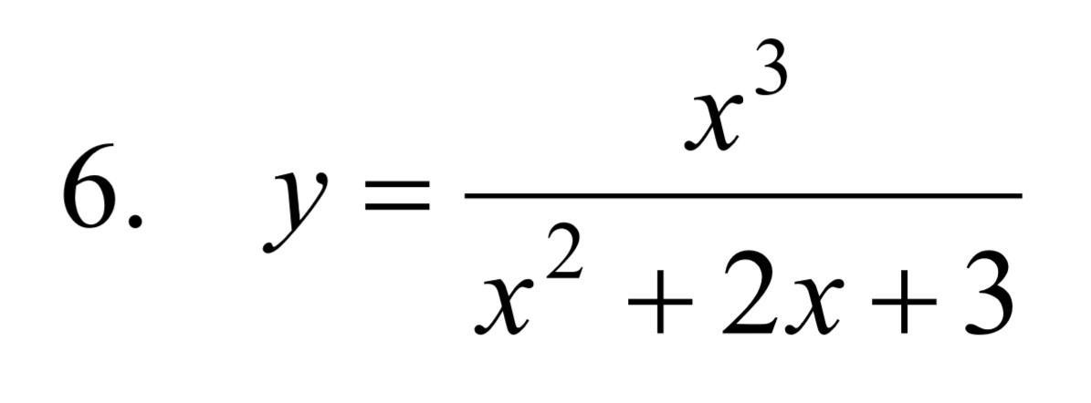
1. Найти область определения и предельные значения.
2. Исследовать функцию на четность – нечетность и периодичность.
3. Найти точки пересечения графика функции с осями координат.
Приложения:

Ответы
Ответ дал:
0
Дана ф
1. Найти область определения и предельные значения.
Знаменатель не превращается в 0 (дискриминант квадратного трёхчлена отрицателен - при любом значении переменной не равен 0).
Значит, область определения х ∈ (-∞; +∞).
2. Исследовать функцию на четность – нечетность и периодичность.
Не периодичная - по определению.
Четность – нечетность:
f(-x) = -x^3/(x^3-2x+3) ≠ f(x) ≠ -f(x). Функция общего вида.
3. Найти точки пересечения графика функции с осями координат.
Так как в числителе только переменная, то имеем только одну точку пересечения и с осью О, и с осью Оу . Это точка х = 0.
График дан во вложении.
Приложения:
Вас заинтересует
2 года назад
3 года назад
3 года назад
8 лет назад
8 лет назад
9 лет назад
9 лет назад