• Предмет: Алгебра
  • Автор: firamirislamova2005
  • Вопрос задан 8 лет назад

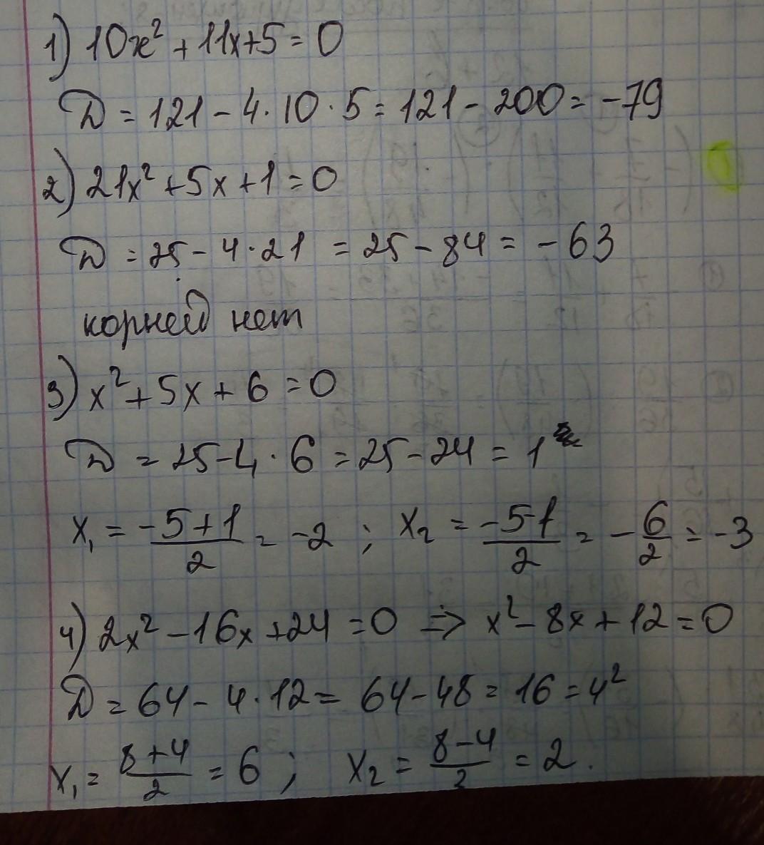
1)Найдите дискриминант квадратного уравнения 10x2+11+5=0

2)Определите число корней квадратного уравнения 21x2+5x+1=0

3)Найдите корни квадратного уравнения x2+5x+6=0

4)Реши квадратное уравнение 2x2-16x+24=0

Ответы

Ответ дал: 0725sasha
0

Ответ:

В приложении

Если мой ответ Вам помог

Отметте его ЛУЧШИМ

Приложения:
Вас заинтересует