• Предмет: Математика
  • Автор: karolinka110
  • Вопрос задан 8 лет назад

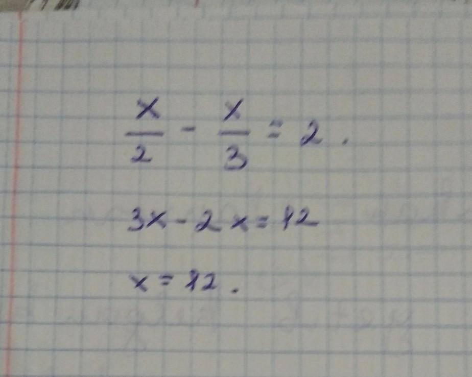
x - x
_ _ = 2
2 3
поможіть рішити

Ответы

Ответ дал: kunduzorazbaeva273
0

Пошаговое объяснение:

привет думаю правильно решила удачи вам

Приложения:
Ответ дал: sasasasasss
0
Вот ответ данного уравнения.
Ответ:12
Приложения:
Вас заинтересует